과천 프레스티어 자이는 지하3층, 지상 35층, 11개동 1,445가구로 이루어진 대규모 아파트 단지입니다.
지하철 4호선 정부과천청사역이 도보로 3분거리에 있어 접근성이 매우 좋습니다.
또한 과천대로, 제2경인고속도로, 과천봉담 도시고속도로 등 주요 도로에 접근할 수 있어 교통의 편리함이 있습니다.
교통의 장점 외에도 문원초등학교, 과천문원중학교, 과천고등학교, 과천중앙고등학교, 과천외고 등 학교가 인근에 위치해 있습니다.
인근에 과천시민회관, 과천시청, 서울대공원, 과천현대미술관 등 편의시설도 있습니다.

프레스티어자이 주택공급
| 주택 | 주택형 | 주택공급면적 | 공급세대수 | ||
| 구분 | (주거전용+주거공용) | 일반 | 특별 | 계 | |
| 민영 | 049.9972A | 70.01 | 27 | 3 | 30 |
| 049.9899B | 69.882 | 10 | 1 | 11 | |
| 049.9972T | 70.01 | 2 | 0 | 2 | |
| 049.9899T | 69.882 | 1 | 0 | 1 | |
| 059.9608A | 82.465 | 18 | 12 | 30 | |
| 059.9933B | 83.41 | 19 | 13 | 32 | |
| 059.9913C | 82.704 | 5 | 2 | 7 | |
| 059.9933T | 83.582 | 1 | 0 | 1 | |
| 074.9852A | 102.61 | 40 | 32 | 72 | |
| 074.9942B | 103.29 | 11 | 8 | 19 | |
| 074.9947C | 102.94 | 4 | 2 | 6 | |
| 074.8487T | 102.69 | 1 | 0 | 1 | |
| 084.9966A | 115.32 | 10 | 18 | 28 | |
| 084.9973B | 115.79 | 2 | 0 | 2 | |
| 084.9939C | 116.3 | 3 | 11 | 14 | |
| 084.9493D | 116.19 | 2 | 2 | 4 | |
| 084.9990F | 115.56 | 7 | 2 | 9 | |
| 084.9953G | 117.07 | 4 | 9 | 13 | |
| 084.9955H | 119.28 | 1 | 0 | 1 | |
| 084.9962T | 115.27 | 2 | 0 | 2 | |
| 099.9251A | 135.11 | 2 | 0 | 2 | |
| 계 | 172 | 115 | 287 | ||
프레스티어자이 분양가
3.3㎡당 분양가는 5409만원이다.
전용 43㎡가 10억~11억원대
59㎡가 14억~15억원대
74㎡ 16억~17억원대
전용 84㎡와 101㎡은 최고 19억원 초반대, 22억원 중반대
| 주택형 | 공급금액(최고가 기준) |
| 049.9972A | 136,290 |
| 049.9899B | 138,760 |
| 049.9972T | 148,890 |
| 049.9899T | 150,030 |
| 059.9608A | 160,540 |
| 059.9933B | 162,380 |
| 059.9913C | 164,220 |
| 059.9933T | 172,670 |
| 074.9852A | 199,760 |
| 074.9942B | 201,080 |
| 074.9947C | 204,410 |
| 074.8487T | 218,380 |
| 084.9966A | 222,320 |
| 084.9973B | 209,830 |
| 084.9939C | 224,200 |
| 084.9493D | 210,550 |
| 084.9990F | 227,230 |
| 084.9953G | 225,680 |
| 084.9955H | 220,750 |
| 084.9962T | 241,600 |
| 099.9251A | 247,041 |


계약금 10%
중도금 70%
잔금 20%
| 주택형 | 동/라인 | 층구분 | 해당 세대수 | 분양가격 | 계약금(10%) | 중도금(70%) | 잔금(20%) | |||||||||
| (약식표기) | 대지비 | 건축비 | 부가가치세 | 계 | 계약시 | 1차(10%) | 2차(10%) | 3차(10%) | 4차(10%) | 5차(10%) | 6차(10%) | 7차(10%) | 입주 지정일 | |||
| 2024-12-16 | 2025-03-17 | 2025-09-15 | 2026-05-18 | 2026-09-14 | 2027-01-18 | 2027-05-03 | ||||||||||
| 406동 3,4호 410동 5호 |
2층 | 1 | 877,730,000 | 376,170,000 | - | 1,253,900,000 | 125,390,000 | 125,390,000 | 125,390,000 | 125,390,000 | 125,390,000 | 125,390,000 | 125,390,000 | 125,390,000 | 250,780,000 | |
| 49A | 3층 | 1 | 896,770,000 | 384,330,000 | - | 1,281,100,000 | 128,110,000 | 128,110,000 | 128,110,000 | 128,110,000 | 128,110,000 | 128,110,000 | 128,110,000 | 128,110,000 | 256,220,000 | |
| 4층 | 1 | 915,880,000 | 392,520,000 | - | 1,308,400,000 | 130,840,000 | 130,840,000 | 130,840,000 | 130,840,000 | 130,840,000 | 130,840,000 | 130,840,000 | 130,840,000 | 261,680,000 | ||
| 5층 | 3 | 934,920,000 | 400,680,000 | - | 1,335,600,000 | 133,560,000 | 133,560,000 | 133,560,000 | 133,560,000 | 133,560,000 | 133,560,000 | 133,560,000 | 133,560,000 | 267,120,000 | ||
| 6층 이상 | 24 | 954,030,000 | 408,870,000 | - | 1,362,900,000 | 136,290,000 | 136,290,000 | 136,290,000 | 136,290,000 | 136,290,000 | 136,290,000 | 136,290,000 | 136,290,000 | 272,580,000 | ||
| 410동 6호 | 2층 | 1 | 893,620,000 | 382,980,000 | - | 1,276,600,000 | 127,660,000 | 127,660,000 | 127,660,000 | 127,660,000 | 127,660,000 | 127,660,000 | 127,660,000 | 127,660,000 | 255,320,000 | |
| 49B | 3층 | 1 | 913,080,000 | 391,320,000 | - | 1,304,400,000 | 130,440,000 | 130,440,000 | 130,440,000 | 130,440,000 | 130,440,000 | 130,440,000 | 130,440,000 | 130,440,000 | 260,880,000 | |
| 4층 | 1 | 932,470,000 | 399,630,000 | - | 1,332,100,000 | 133,210,000 | 133,210,000 | 133,210,000 | 133,210,000 | 133,210,000 | 133,210,000 | 133,210,000 | 133,210,000 | 266,420,000 | ||
| 5층 | 1 | 951,930,000 | 407,970,000 | - | 1,359,900,000 | 135,990,000 | 135,990,000 | 135,990,000 | 135,990,000 | 135,990,000 | 135,990,000 | 135,990,000 | 135,990,000 | 271,980,000 | ||
| 6층 이상 | 7 | 971,320,000 | 416,280,000 | - | 1,387,600,000 | 138,760,000 | 138,760,000 | 138,760,000 | 138,760,000 | 138,760,000 | 138,760,000 | 138,760,000 | 138,760,000 | 277,520,000 | ||
| 49AT | 406동 3호 410동 5호 |
15층 이상 | 2 | 1,042,230,000 | 446,670,000 | - | 1,488,900,000 | 148,890,000 | 148,890,000 | 148,890,000 | 148,890,000 | 148,890,000 | 148,890,000 | 148,890,000 | 148,890,000 | 297,780,000 |
| 49BT | 410동6호 | 15층 | 1 | 1,050,210,000 | 450,090,000 | - | 1,500,300,000 | 150,030,000 | 150,030,000 | 150,030,000 | 150,030,000 | 150,030,000 | 150,030,000 | 150,030,000 | 150,030,000 | 300,060,000 |
| 401동 4,5,6호 404동 3호 409동 5호 |
2층 | 5 | 1,033,830,000 | 443,070,000 | - | 1,476,900,000 | 147,690,000 | 147,690,000 | 147,690,000 | 147,690,000 | 147,690,000 | 147,690,000 | 147,690,000 | 147,690,000 | 295,380,000 | |
| 59A | 3층 | 3 | 1,056,300,000 | 452,700,000 | - | 1,509,000,000 | 150,900,000 | 150,900,000 | 150,900,000 | 150,900,000 | 150,900,000 | 150,900,000 | 150,900,000 | 150,900,000 | 301,800,000 | |
| 4층 | 5 | 1,078,770,000 | 462,330,000 | - | 1,541,100,000 | 154,110,000 | 154,110,000 | 154,110,000 | 154,110,000 | 154,110,000 | 154,110,000 | 154,110,000 | 154,110,000 | 308,220,000 | ||
| 5층 | 5 | 1,101,240,000 | 471,960,000 | - | 1,573,200,000 | 157,320,000 | 157,320,000 | 157,320,000 | 157,320,000 | 157,320,000 | 157,320,000 | 157,320,000 | 157,320,000 | 314,640,000 | ||
| 6층 이상 | 12 | 1,123,780,000 | 481,620,000 | - | 1,605,400,000 | 160,540,000 | 160,540,000 | 160,540,000 | 160,540,000 | 160,540,000 | 160,540,000 | 160,540,000 | 160,540,000 | 321,080,000 | ||
| 401동 3호 410동 3,4호 411동 1,2호 |
2층 | 4 | 1,045,730,000 | 448,170,000 | - | 1,493,900,000 | 149,390,000 | 149,390,000 | 149,390,000 | 149,390,000 | 149,390,000 | 149,390,000 | 149,390,000 | 149,390,000 | 298,780,000 | |
| 59B | 3층 | 3 | 1,068,410,000 | 457,890,000 | - | 1,526,300,000 | 152,630,000 | 152,630,000 | 152,630,000 | 152,630,000 | 152,630,000 | 152,630,000 | 152,630,000 | 152,630,000 | 305,260,000 | |
| 4층 | 5 | 1,091,160,000 | 467,640,000 | - | 1,558,800,000 | 155,880,000 | 155,880,000 | 155,880,000 | 155,880,000 | 155,880,000 | 155,880,000 | 155,880,000 | 155,880,000 | 311,760,000 | ||
| 5층 | 5 | 1,113,910,000 | 477,390,000 | - | 1,591,300,000 | 159,130,000 | 159,130,000 | 159,130,000 | 159,130,000 | 159,130,000 | 159,130,000 | 159,130,000 | 159,130,000 | 318,260,000 | ||
| 6층 이상 | 15 | 1,136,660,000 | 487,140,000 | - | 1,623,800,000 | 162,380,000 | 162,380,000 | 162,380,000 | 162,380,000 | 162,380,000 | 162,380,000 | 162,380,000 | 162,380,000 | 324,760,000 | ||
| 409동 6호 | 4층 | 1 | 1,103,550,000 | 472,950,000 | - | 1,576,500,000 | 157,650,000 | 157,650,000 | 157,650,000 | 157,650,000 | 157,650,000 | 157,650,000 | 157,650,000 | 157,650,000 | 315,300,000 | |
| 59C | 5층 | 1 | 1,126,580,000 | 482,820,000 | - | 1,609,400,000 | 160,940,000 | 160,940,000 | 160,940,000 | 160,940,000 | 160,940,000 | 160,940,000 | 160,940,000 | 160,940,000 | 321,880,000 | |
| 6층 이상 | 5 | 1,149,540,000 | 492,660,000 | - | 1,642,200,000 | 164,220,000 | 164,220,000 | 164,220,000 | 164,220,000 | 164,220,000 | 164,220,000 | 164,220,000 | 164,220,000 | 328,440,000 | ||
| 59BT | 411동 1호 | 15층 | 1 | 1,208,690,000 | 518,010,000 | - | 1,726,700,000 | 172,670,000 | 172,670,000 | 172,670,000 | 172,670,000 | 172,670,000 | 172,670,000 | 172,670,000 | 172,670,000 | 345,340,000 |
| 403동 3호 405동 2호 |
2층 | 8 | 1,286,460,000 | 551,340,000 | - | 1,837,800,000 | 183,780,000 | 183,780,000 | 183,780,000 | 183,780,000 | 183,780,000 | 183,780,000 | 183,780,000 | 183,780,000 | 367,560,000 | |
| 74A | 3층 | 5 | 1,314,390,000 | 563,310,000 | - | 1,877,700,000 | 187,770,000 | 187,770,000 | 187,770,000 | 187,770,000 | 187,770,000 | 187,770,000 | 187,770,000 | 187,770,000 | 375,540,000 | |
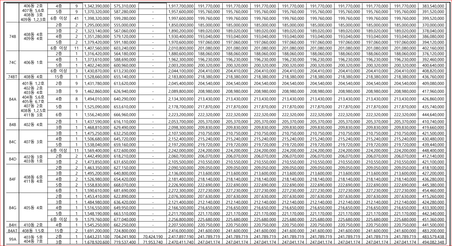
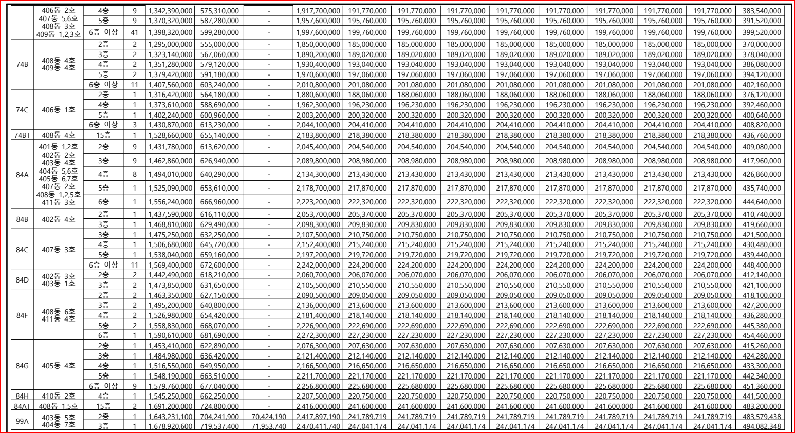
| 406동 2호 407동 5,6호 408동 3호 409동 1,2,3호 |
4층 | 9 | 1,342,390,000 | 575,310,000 | - | 1,917,700,000 | 191,770,000 | 191,770,000 | 191,770,000 | 191,770,000 | 191,770,000 | 191,770,000 | 191,770,000 | 191,770,000 | 383,540,000 | |
| 5층 | 9 | 1,370,320,000 | 587,280,000 | - | 1,957,600,000 | 195,760,000 | 195,760,000 | 195,760,000 | 195,760,000 | 195,760,000 | 195,760,000 | 195,760,000 | 195,760,000 | 391,520,000 | ||
| 6층 이상 | 41 | 1,398,320,000 | 599,280,000 | - | 1,997,600,000 | 199,760,000 | 199,760,000 | 199,760,000 | 199,760,000 | 199,760,000 | 199,760,000 | 199,760,000 | 199,760,000 | 399,520,000 | ||
| 74B | 408동 4호 409동 4호 |
2층 | 2 | 1,295,000,000 | 555,000,000 | - | 1,850,000,000 | 185,000,000 | 185,000,000 | 185,000,000 | 185,000,000 | 185,000,000 | 185,000,000 | 185,000,000 | 185,000,000 | 370,000,000 |
| 3층 | 2 | 1,323,140,000 | 567,060,000 | - | 1,890,200,000 | 189,020,000 | 189,020,000 | 189,020,000 | 189,020,000 | 189,020,000 | 189,020,000 | 189,020,000 | 189,020,000 | 378,040,000 | ||
| 4층 | 2 | 1,351,280,000 | 579,120,000 | - | 1,930,400,000 | 193,040,000 | 193,040,000 | 193,040,000 | 193,040,000 | 193,040,000 | 193,040,000 | 193,040,000 | 193,040,000 | 386,080,000 | ||
| 5층 | 2 | 1,379,420,000 | 591,180,000 | - | 1,970,600,000 | 197,060,000 | 197,060,000 | 197,060,000 | 197,060,000 | 197,060,000 | 197,060,000 | 197,060,000 | 197,060,000 | 394,120,000 | ||
| 6층 이상 | 11 | 1,407,560,000 | 603,240,000 | - | 2,010,800,000 | 201,080,000 | 201,080,000 | 201,080,000 | 201,080,000 | 201,080,000 | 201,080,000 | 201,080,000 | 201,080,000 | 402,160,000 | ||
| 74C | 406동 1호 | 2층 | 1 | 1,316,420,000 | 564,180,000 | - | 1,880,600,000 | 188,060,000 | 188,060,000 | 188,060,000 | 188,060,000 | 188,060,000 | 188,060,000 | 188,060,000 | 188,060,000 | 376,120,000 |
| 4층 | 1 | 1,373,610,000 | 588,690,000 | - | 1,962,300,000 | 196,230,000 | 196,230,000 | 196,230,000 | 196,230,000 | 196,230,000 | 196,230,000 | 196,230,000 | 196,230,000 | 392,460,000 | ||
| 5층 | 1 | 1,402,240,000 | 600,960,000 | - | 2,003,200,000 | 200,320,000 | 200,320,000 | 200,320,000 | 200,320,000 | 200,320,000 | 200,320,000 | 200,320,000 | 200,320,000 | 400,640,000 | ||
| 6층 이상 | 3 | 1,430,870,000 | 613,230,000 | - | 2,044,100,000 | 204,410,000 | 204,410,000 | 204,410,000 | 204,410,000 | 204,410,000 | 204,410,000 | 204,410,000 | 204,410,000 | 408,820,000 | ||
| 74BT | 408동 4호 | 15층 | 1 | 1,528,660,000 | 655,140,000 | - | 2,183,800,000 | 218,380,000 | 218,380,000 | 218,380,000 | 218,380,000 | 218,380,000 | 218,380,000 | 218,380,000 | 218,380,000 | 436,760,000 |
| 84A | 401동 1,2호 402동 2호 403동 4호 404동 5,6호 405동 6,7호 407동 2호 408동 1,2,5호 411동 3호 |
2층 | 9 | 1,431,780,000 | 613,620,000 | - | 2,045,400,000 | 204,540,000 | 204,540,000 | 204,540,000 | 204,540,000 | 204,540,000 | 204,540,000 | 204,540,000 | 204,540,000 | 409,080,000 |
| 3층 | 9 | 1,462,860,000 | 626,940,000 | - | 2,089,800,000 | 208,980,000 | 208,980,000 | 208,980,000 | 208,980,000 | 208,980,000 | 208,980,000 | 208,980,000 | 208,980,000 | 417,960,000 | ||
| 4층 | 8 | 1,494,010,000 | 640,290,000 | - | 2,134,300,000 | 213,430,000 | 213,430,000 | 213,430,000 | 213,430,000 | 213,430,000 | 213,430,000 | 213,430,000 | 213,430,000 | 426,860,000 | ||
| 5층 | 1 | 1,525,090,000 | 653,610,000 | - | 2,178,700,000 | 217,870,000 | 217,870,000 | 217,870,000 | 217,870,000 | 217,870,000 | 217,870,000 | 217,870,000 | 217,870,000 | 435,740,000 | ||
| 6층 | 1 | 1,556,240,000 | 666,960,000 | - | 2,223,200,000 | 222,320,000 | 222,320,000 | 222,320,000 | 222,320,000 | 222,320,000 | 222,320,000 | 222,320,000 | 222,320,000 | 444,640,000 | ||
| 84B | 402동 4호 | 2층 | 1 | 1,437,590,000 | 616,110,000 | - | 2,053,700,000 | 205,370,000 | 205,370,000 | 205,370,000 | 205,370,000 | 205,370,000 | 205,370,000 | 205,370,000 | 205,370,000 | 410,740,000 |
| 3층 | 1 | 1,468,810,000 | 629,490,000 | - | 2,098,300,000 | 209,830,000 | 209,830,000 | 209,830,000 | 209,830,000 | 209,830,000 | 209,830,000 | 209,830,000 | 209,830,000 | 419,660,000 | ||
| 84C | 407동 3호 | 3층 | 1 | 1,475,250,000 | 632,250,000 | - | 2,107,500,000 | 210,750,000 | 210,750,000 | 210,750,000 | 210,750,000 | 210,750,000 | 210,750,000 | 210,750,000 | 210,750,000 | 421,500,000 |
| 4층 | 1 | 1,506,680,000 | 645,720,000 | - | 2,152,400,000 | 215,240,000 | 215,240,000 | 215,240,000 | 215,240,000 | 215,240,000 | 215,240,000 | 215,240,000 | 215,240,000 | 430,480,000 | ||
| 5층 | 1 | 1,538,040,000 | 659,160,000 | - | 2,197,200,000 | 219,720,000 | 219,720,000 | 219,720,000 | 219,720,000 | 219,720,000 | 219,720,000 | 219,720,000 | 219,720,000 | 439,440,000 | ||
| 6층 이상 | 11 | 1,569,400,000 | 672,600,000 | - | 2,242,000,000 | 224,200,000 | 224,200,000 | 224,200,000 | 224,200,000 | 224,200,000 | 224,200,000 | 224,200,000 | 224,200,000 | 448,400,000 | ||
| 84D | 402동 3호 403동 1호 |
2층 | 2 | 1,442,490,000 | 618,210,000 | - | 2,060,700,000 | 206,070,000 | 206,070,000 | 206,070,000 | 206,070,000 | 206,070,000 | 206,070,000 | 206,070,000 | 206,070,000 | 412,140,000 |
| 3층 | 2 | 1,473,850,000 | 631,650,000 | - | 2,105,500,000 | 210,550,000 | 210,550,000 | 210,550,000 | 210,550,000 | 210,550,000 | 210,550,000 | 210,550,000 | 210,550,000 | 421,100,000 | ||
| 84F | 408동 6호 411동 4호 |
2층 | 2 | 1,463,350,000 | 627,150,000 | - | 2,090,500,000 | 209,050,000 | 209,050,000 | 209,050,000 | 209,050,000 | 209,050,000 | 209,050,000 | 209,050,000 | 209,050,000 | 418,100,000 |
| 3층 | 2 | 1,495,200,000 | 640,800,000 | - | 2,136,000,000 | 213,600,000 | 213,600,000 | 213,600,000 | 213,600,000 | 213,600,000 | 213,600,000 | 213,600,000 | 213,600,000 | 427,200,000 | ||
| 4층 | 2 | 1,526,980,000 | 654,420,000 | - | 2,181,400,000 | 218,140,000 | 218,140,000 | 218,140,000 | 218,140,000 | 218,140,000 | 218,140,000 | 218,140,000 | 218,140,000 | 436,280,000 | ||
| 5층 | 2 | 1,558,830,000 | 668,070,000 | - | 2,226,900,000 | 222,690,000 | 222,690,000 | 222,690,000 | 222,690,000 | 222,690,000 | 222,690,000 | 222,690,000 | 222,690,000 | 445,380,000 | ||
| 6층 | 1 | 1,590,610,000 | 681,690,000 | - | 2,272,300,000 | 227,230,000 | 227,230,000 | 227,230,000 | 227,230,000 | 227,230,000 | 227,230,000 | 227,230,000 | 227,230,000 | 454,460,000 | ||
| 84G | 405동 4호 | 2층 | 1 | 1,453,410,000 | 622,890,000 | - | 2,076,300,000 | 207,630,000 | 207,630,000 | 207,630,000 | 207,630,000 | 207,630,000 | 207,630,000 | 207,630,000 | 207,630,000 | 415,260,000 |
| 3층 | 1 | 1,484,980,000 | 636,420,000 | - | 2,121,400,000 | 212,140,000 | 212,140,000 | 212,140,000 | 212,140,000 | 212,140,000 | 212,140,000 | 212,140,000 | 212,140,000 | 424,280,000 | ||
| 4층 | 1 | 1,516,550,000 | 649,950,000 | - | 2,166,500,000 | 216,650,000 | 216,650,000 | 216,650,000 | 216,650,000 | 216,650,000 | 216,650,000 | 216,650,000 | 216,650,000 | 433,300,000 | ||
| 5층 | 1 | 1,548,190,000 | 663,510,000 | - | 2,211,700,000 | 221,170,000 | 221,170,000 | 221,170,000 | 221,170,000 | 221,170,000 | 221,170,000 | 221,170,000 | 221,170,000 | 442,340,000 | ||
| 6층 이상 | 9 | 1,579,760,000 | 677,040,000 | - | 2,256,800,000 | 225,680,000 | 225,680,000 | 225,680,000 | 225,680,000 | 225,680,000 | 225,680,000 | 225,680,000 | 225,680,000 | 451,360,000 | ||
| 84H | 410동 2호 | 4층 | 1 | 1,545,250,000 | 662,250,000 | - | 2,207,500,000 | 220,750,000 | 220,750,000 | 220,750,000 | 220,750,000 | 220,750,000 | 220,750,000 | 220,750,000 | 220,750,000 | 441,500,000 |
| 84AT | 408동 1,5호 | 15층 | 2 | 1,691,200,000 | 724,800,000 | - | 2,416,000,000 | 241,600,000 | 241,600,000 | 241,600,000 | 241,600,000 | 241,600,000 | 241,600,000 | 241,600,000 | 241,600,000 | 483,200,000 |
| 99A | 403동 5호 404동 7호 |
2층 | 1 | 1,643,231,100 | 704,241,900 | 70,424,190 | 2,417,897,190 | 241,789,719 | 241,789,719 | 241,789,719 | 241,789,719 | 241,789,719 | 241,789,719 | 241,789,719 | 241,789,719 | 483,579,438 |
| 3층 | 1 | 1,678,920,600 | 719,537,400 | 71,953,740 | 2,470,411,740 | 247,041,174 | 247,041,174 | 247,041,174 | 247,041,174 | 247,041,174 | 247,041,174 | 247,041,174 | 247,041,174 | 494,082,348 |
프레스티어자이 단지배치도
총 1,445세대
일반분양 287세대

프레스티어자이 동호수배치도
401동
402동
403동
404동
405동
406동
407동
408동
409동
410동
411동




프레스티어자이 평면도





















프레스티어자이 특별공급, 1순위 청약 경쟁률
프레스티어자이 경쟁률 당첨자발표 당첨컷 당첨가점 (2024.10.16)
프레스티어자이 경쟁률 당첨자발표 당첨컷 당첨가점 (2024.10.16)
프레스티어자이 당첨자 조회 바로가기 프레스티어자이 당첨자발표 경기 과천시 별양동 과천주공4단지를 재건축하는 프레스티어자이 당첨자 발표가 10월 16일에 발표되었습니다. 전체
info.the-having.com
프레스티어자이 일정
모집공고일 2024.10.27
특별공급 2024.10.07
1순위 2024.10.08
당첨자발표 2024.10.16
서류접수 2024.10.19~2024.10.21
계약일 2024.10.28~2024.10.30
프레스티어자이 모집공고문
프레스티어자이 입주자모집공고문
잠실래미안아이파크 18일 견본주택 개관
디에이치 대치 에델루이 못지 않게 많은 청약자들이 몰릴 것으로 예상됩니다.
잠실래미안아이파크 로또청약 당첨을 기원합니다!!!
견본주택은 10.18(금)~10.20(일) 3일간 운영되며, 해당기간동안 자율관람으로 운영됩니다.
이후 휴관 예정이며, 당첨자발표 후 자격확인 서류제출 및 공급계약 체결 대상자에 한하여 견본주택 입장이 가능합니다.
위치: 서울시 송파구 충민로17 래미안갤러리 4층
주차가 어려우니 대중교통을 이용해주시기 바랍니다.
청담르엘 아쉽지만 놓치셨던 분들 강남로또 청약 기회가 있습니다.

모집공고일: 2024.10.11
견본주택오픈: 2024.10.18
특별공급 청약접수: 2024.10.21
1순위 청약접수(해당): 2024.10.22
1순위 청약접수(기타): 2024.10.23
2순위 청약접수: 2024.10.24
당첨자발표일: 2024.10.30
당첨자 자격확인 서류검수: 2024.11.3~2024.11.7
계약일: 2024.11.12~2024.11.15
디에이치 대치 에델루이 특별공급 1순위 청약 마감 결과 경쟁률 (2024.10.10)
디에이치 대치 에델루이 특별공급 1순위 청약 마감 결과 경쟁률 (2024.10.10)
디에이치 대치 에델루이 청약이 마감되었습니다. 특별공급 35가구모집에 16,604개 통장 접수되었고, 일반분양은 72세대 모집에 37,946명이 청약 신청을 하였습니다. 평균경쟁률이 1025.5:1로 마감되었
info.the-having.com
동작구 수방사 본청약 공공분양 청약 특별공급 1순위 경쟁률 (2024.10.15)
동작구 수방사 본청약 공공분양 청약 특별공급 1순위 경쟁률 (2024.10.15)
동작구 수방사 경쟁률 서울 동작구 수도방위사령부(이하 수방사) 부지 공공분양주택의 본청약이 시작되면서 많은 예비 청약자들의 관심이 집중되고 있습니다. 특히 특별공급과 1순위 청약에서
info.the-having.com
디에이치 대치 에델루이 특별공급 1순위 청약 마감 결과 경쟁률 (2024.10.10)
디에이치 대치 에델루이 특별공급 1순위 청약 마감 결과 경쟁률 (2024.10.10)
디에이치 대치 에델루이 청약이 마감되었습니다. 특별공급 35가구모집에 16,604개 통장 접수되었고, 일반분양은 72세대 모집에 37,946명이 청약 신청을 하였습니다. 평균경쟁률이 1025.5:1로 마감되었
info.the-having.com
강남 로또 청약 경쟁률 당첨컷 확인하기 청담르엘, 디에이치 방배, 래미안 레벤투스, 래미안 원펜타스
강남 로또 청약 경쟁률 당첨컷 확인하기 청담르엘, 디에이치 방배, 래미안 레벤투스, 래미안 원
청약홈에서 경쟁률을 확인하고자하시면 아래 버튼을 통해 확인하실 수 있습니다. 최근에 강남에 분양이 많았는대요. 로또 청약이라 불리는 강남 청약이 이어지고 있습니다. 청약결과가
info.the-having.com
디에이치 방배 경쟁률 당첨 가점 추첨 청약 발표
디에이치 방배 경쟁률 당첨 가점 특별공급 신청경쟁률 당첨 가점 디에이치 방배 청약당첨조회 청약홈 - 청약당첨조회 - APT 디에이치 방배 당첨자 예비자 서류 제출 당첨자 자격검증서
info.the-having.com
한강수자인오브센트 당첨자발표 경쟁률 당첨컷 당첨가점 (2024.09.27)
한강수자인오브센트 당첨자발표 경쟁률 당첨컷 당첨가점 (2024.09.27)
당첨자발표 바로가기 한강수자인오브센트 특별공급, 1순위, 2순위 청약을 마감하였구요. 27일 당첨자 발표를 하였습니다. 경쟁률, 당첨컷, 당첨가점을 확인해보세요. 한강수자인오브센트
info.the-having.com
게시글은 모집공고문과 홈페이지를 기반으로 한 내용이며, 모든 책임은 본인에게 있음을 알려드립니다.
위 내용을 참고하시되 모집공고문을 꼭 확인하시기 바랍니다.